Toggle navigation
首页
模考
答疑
LUXU题
资料下载
课程
联系客服
注册
登录
BOOSTGRE题库
×
您还没有登录,登录以后才可以查看答疑和进行提问。
试题详情
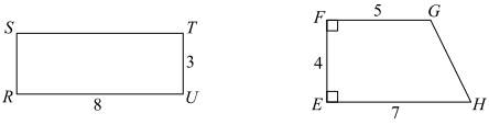
Quantity A:The area of rectangular region RSTU
Quantity B:The area of trapezoidal region EFGH
A、Quantity A is greater.
B、Quantity B is greater.
C、The two quantities are equal.
D、The relationship cannot be determined from the information given.
答案:C
专业教师答疑
最新
提问
×
Close
还没有人问到这里。
提问
问个问题
我想问:
提问
答疑小程序
最热提问
Reading Comprehension
Select a sentence in the passage that indicates th......
Reading Comprehension
Consider each of the choices separately and select......
Text Completion
Partly because of Lee’s skill at synthesizing (i......
Text Completion
After Betty found a qualified assistant to help he......
Reading Comprehension
Which of the following best states the author's ma......
Problem Solving
The perimeter of square S is 40. Square T is inscr......
Text Completion
There has been much hand-wringing about how unprep......
Reading Comprehension
In the final paragraph of the passage, the author ......